Case Studies
Case Studies
- Preparation of Hyperbranched Resin and Its Effect on the Performance of Epoxy Resin Channeling Control Agent (Part 1)
- Preparation of Hyperbranched Resin and Its Effect on the Performance of Epoxy Resin Channeling Control Agent (Part 2)
- Construction of A New Organic-inorganic Composite Emulsion and Its Enhanced Mechanical Properties of Oil Well Cement(Part 1)
- Construction of A New Organic-inorganic Composite Emulsion and Its Enhanced Mechanical Properties of Oil Well Cement(Part 2)
- The Application Prospects of DeepSeek Large Model in Petroleum Engineering(Part 1)
- The Application Prospects of DeepSeek Large Model in Petroleum Engineering(Part 2)
- Development and Performance Evaluation of Efficient Asphalt Dispersant (Part 1)
- Development and Performance Evaluation of Efficient Asphalt Dispersant (Part 2)
- Development and Performance Evaluation of Efficient Asphalt Dispersant (Part 3)
- Research and Application Status of Drilling Fluid Plugging Materials (Part 1)
2.3 Effect on the Mechanical Properties of the Resin Anti-channeling Agent
Figure 6 presents uniaxial compression stress-strain curves of resin sealing agents at different curing temperatures. As shown in Figures 6(a-c), all samples exhibit a consistent trend: at identical curing temperatures, the peak strength of HERJ samples consistently exceeds that of ZFA-0 (HERJ 0% content), with ZFA-10 (HERJ 10% content) demonstrating the highest peak strength. ZFA-10 achieves peak strengths of 40.7 MPa at 70°C, 50.6 MPa at 80°C, and 53.9 MPa at 90°C – representing a 19.50% increase compared to the baseline ZFA-0 sample. Integration analysis of the 90°C curves reveals a 13.58% larger integral area for ZFA-10 than ZFA-0, indicating significant improvement in curing toughness. This enhancement stems from the abundant functional groups at the superbranched resin terminals, which actively participate in epoxy curing reactions and form homogeneous phases with the matrix, thereby strengthening crosslinking. Additionally, the intramolecular cavity structures in superbranched resins increase free volume near crosslinking points during curing. When subjected to impact forces, these cavities deform to absorb energy, effectively enhancing the epoxy curing material's toughness.

2.4 Analysis of the Anti-Channeling Performance of Resin-Based Plugging Agents
The sealing capability of resin-based plugging agents is critical for addressing ring space pressure issues in oil and gas wells. Figure 7 illustrates the nitrogen injection pressure during cement rock displacement. The figure reveals that when the nitrogen injection pressure reaches 0.1 MPa in unsealed cement rock, bubbles appear at the outlet, indicating gas migration caused by fractures. In contrast, the sealed cement rock shows no bubbles until the pressure reaches 4.5 MPa, demonstrating the resin plugging agent's effective sealing of cement rock fractures.

2.5 Micromorphology Analysis of the Cured Resin-Based Anti-Channeling Agent
This study analyzes the microstructure of epoxy resin-cured specimens fractured at 90°C. Figure 8(a–b) presents SEM images of fracture surfaces from specimens cured without and with superbranched resin, respectively. Figure 8(a) shows a smooth fracture surface without significant deformation, exhibiting brittle fracture characteristics. In contrast, Figure 8(b) reveals a rough fracture surface with extensive shear slip bands oriented at 45°and 135°to the stress direction, demonstrating ductile fracture behavior. These results indicates a strong energy absorption capacity during the fracture process of the cured resin, demonstrating that the incorporation of hyperbranched resin can effectively improve the toughness of the anti-channeling agent.

2.6 Thermal Stability of the Cured Resin-Based Anti-Channeling Agent
Figure 9 presents the thermogravimetric (TG) curve of ZFA-10 cured material, demonstrating three distinct weight loss phases. The TG curve reveals: (1) initial weight loss from volatile components, (2) decomposition at 331.2°C due to cross-linking network disruption, and (3) residual molecular degradation at 451.6°C after further structural breakdown. The derivative thermogravimetric (DTG) curve indicates that the temperature at which the mass loss rate is the fastest is 401.3 °C, which occurs in the second stage. Moreover, the magnitude of mass loss in the second stage is relatively high, suggesting that the three-dimensional network structure formed by crosslinking plays an important role in the thermal stability of the cured material.
The thermogravimetric analysis results demonstrate that the cured product exhibits good temperature resistance and thermal stability.

2.7 Cure Kinetics of the Resin-Based Anti-Channeling Agent
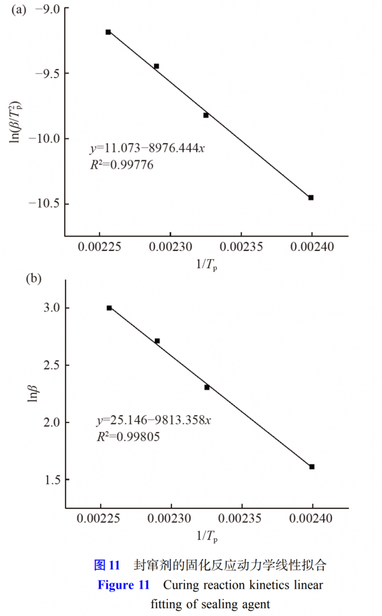
Figure 10 shows the DSC curves of the cured epoxy resin plugging agent ZFA-10. The reaction kinetics parameters were obtained by processing the DSC data at different heating rates using the KISSINGER equation and the CRANE equation.
According to the peak temperatures (Tₚ) at different heating rates (β), a linear fitting was performed by plotting ln(β/Tₚ²) versus 1/Tₚ, as shown in Figure 11(a). The slope of the fitted line is −Eₐ/R, and the intercept is ln(AR/Eₐ), from which the activation energy (Eₐ) and the frequency factor (A) can be calculated. Here, R represents the gas constant.
Similarly, a linear fitting was carried out by plotting lnβ versus 1/Tₚ, as shown in Figure 11(b). The slope of the fitted line is −Eₐ/R, and the intercept is lnβ, from which the reaction order (n) can be determined.
Based on the calculations, the kinetic parameters are Eₐ = 74,630.155 J/mol, A = 5.782 × 10⁸, and n = 0.915. These results indicate that the curing reaction possesses a high activation energy and a high frequency factor, meaning that the reaction needs to be triggered at relatively high temperatures; however, once the reaction threshold is reached, the curing efficiency increases significantly. The near first-order reaction characteristic (n = 0.915) suggests that the reaction rate is mainly governed by a single chemical mechanism, indicating strong controllability of the process.
These characteristics demonstrate that the resin-based anti-channeling agent is suitable for plugging applications in high-temperature oil and gas wells, where it can rapidly form a crosslinked network under downhole high-temperature conditions to achieve effective channeling control, while also avoiding the risk of premature curing at low temperatures.


3 Conclusion
This study developed a hyperbranched resin (HERJ) to address the performance limitations of epoxy resin as a ring space pressure well control agent. HERJ significantly enhances the gelation properties of epoxy resin, achieving a viscosity as low as 35 mPa·s at 30-90°C. Within the 70-90°C temperature range, HERJ enables adjustable gelation times for epoxy resin control agents, ranging from 2.1 to 4.9 hours. The resin effectively improves the mechanical properties of cured epoxy control agents. Under 90°C curing conditions with 10% HERJ addition, the ZFA-10 cured material demonstrated a compressive strength of 53.9 MPa, representing a 19.50% increase compared to the control sample ZFA-0, along with a 13.58% improvement in toughness. The anti-channeling performance evaluation shows that the nitrogen breakthrough pressure of the cement stone sample sealed with the resin-based anti-channeling agent reaches 4.5 MPa, whereas that of the untreated cement stone sample is only 0.1 MPa, demonstrating the excellent sealing effect of the resin-based anti-channeling agent on fractures in the cement stone. In addition, SEM images of the fracture surface indicate that the hyperbranched resin can effectively improve the toughness of the cured material.Thermal gravimetry (TG) results confirmed the material's excellent thermal stability. DSC experiments provided kinetic parameters for the curing reaction, offering theoretical guidance for optimizing the curing conditions of epoxy resin anti-channeling agents.



